Coding Test/LeetCode
[LeetCode] 637. Average of Levels in Binary Tree c++
owls
2022. 12. 20. 14:52
728x90
- 문제
Given the root of a binary tree, return the average value of the nodes on each level in the form of an array. Answers within 10^-5 of the actual answer will be accepted.

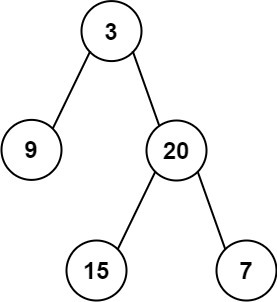
Input: root = [3,9,20,null,null,15,7]
Output: [3.00000,14.50000,11.00000]
Explanation: The average value of nodes on level 0 is 3, on level 1 is 14.5, and on level 2 is 11.
Hence return [3, 14.5, 11].
같은 depth에 있는 node들의 평균 값을 구해서 vector에 저장하는 문제이다.
- 문제 해결
1. qlen으로 현재 depth 노드들의 개수를 구한다.
2. qlen 만큼 반복문을 돌려 해당 depth의 노드들의 합인 sum을 구한다.
3. 다음 depth의 평균값을 구하기 위해 LC(Left Child), RC(Right Child)를 queue 에 삽입한다.
4. 반복문이 끝나면 평균값을 구하기 위해 sum / qlen 식을 수행한다.
vector<double> averageOfLevels(TreeNode* root) {
queue<TreeNode* > que;
que.push(root);
vector<double> ans;
while (que.size()) {
double qlen = que.size(), sum = 0;
for (int i = 0; i < qlen; i++) {
TreeNode* curr = que.front();
que.pop();
sum += curr->val;
if (curr->left) {
que.push(curr->left);
}
if (curr->right) {
que.push(curr->right);
}
}
double tmp = sum / qlen;
ans.push_back(sum / qlen);
}
return ans;
}
728x90