-
[LeetCode] 226. Invert Binary Tree c++Coding Test/LeetCode 2022. 12. 19. 19:37728x90
- 문제
Given the root of a binary tree, invert the tree, and return its root.

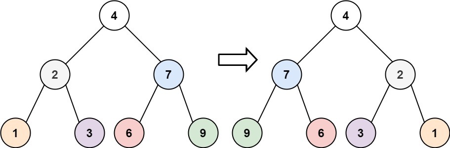
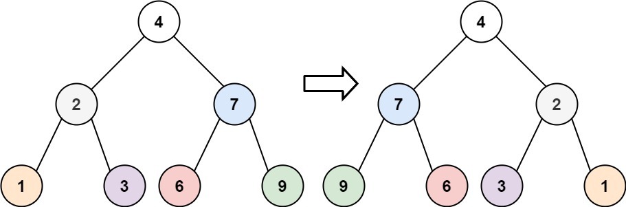
출처 : https://leetcode.com/problems/invert-binary-tree/ Input: root = [4,2,7,1,3,6,9] Output: [4,7,2,9,6,3,1]부모 노드를 기준으로 자식 노드의 좌우 대칭을 바꾸는 문제입니다.
- 문제 해결
class Solution { public: TreeNode* invertTree(TreeNode* root) { if (!root) return root; swap(root->left, root->right); invertTree(root->left); invertTree(root->right); return root; } };swap()함수는 algorithm에 내장된 STL함수입니다.
swap() 함수는 두 개의 참조가 가르키는 위치의 값을 서로 교환합니다.
반복문 사용한 풀이
TreeNode* invertTree(TreeNode* root) { stack<TreeNode*> s; s.push(root); while (!s.empty()) { TreeNode* curr = s.top(); s.pop(); if (!curr) continue; s.push(curr->left); s.push(curr->right); swap(curr->left, curr->right); } return root; }swap() 함수는 두 개의 참조가 가르키는 위치의 값을 서로 교환합으로 마지막에 교환해도 해당 주소의 값은 바뀌어 있습니다.
728x90'Coding Test > LeetCode' 카테고리의 다른 글
[LeetCode] 104. Maximum Depth of Binary Tree c++ (1) 2022.12.20 [LeetCode] 94. Binary Tree Inorder Traversal c++ (0) 2022.12.19 [LeetCode] 1022. Sum of Root To Leaf Binary Numbers c++ (0) 2022.12.19 [LeetCode] 590. N-ary Tree Postorder Traversal c++ (0) 2022.11.29 [LeetCode] 1971. Find if Path Exists in Graph c++ (0) 2022.11.29