-
[LeetCode] 637. Average of Levels in Binary Tree c++Coding Test/LeetCode 2022. 12. 20. 14:52728x90
- 문제
Given the root of a binary tree, return the average value of the nodes on each level in the form of an array. Answers within 10^-5 of the actual answer will be accepted.

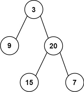
출처 : https://leetcode.com/problems/average-of-levels-in-binary-tree/ Input: root = [3,9,20,null,null,15,7] Output: [3.00000,14.50000,11.00000] Explanation: The average value of nodes on level 0 is 3, on level 1 is 14.5, and on level 2 is 11. Hence return [3, 14.5, 11].같은 depth에 있는 node들의 평균 값을 구해서 vector에 저장하는 문제이다.
- 문제 해결
1. qlen으로 현재 depth 노드들의 개수를 구한다.
2. qlen 만큼 반복문을 돌려 해당 depth의 노드들의 합인 sum을 구한다.
3. 다음 depth의 평균값을 구하기 위해 LC(Left Child), RC(Right Child)를 queue 에 삽입한다.
4. 반복문이 끝나면 평균값을 구하기 위해 sum / qlen 식을 수행한다.
vector<double> averageOfLevels(TreeNode* root) { queue<TreeNode* > que; que.push(root); vector<double> ans; while (que.size()) { double qlen = que.size(), sum = 0; for (int i = 0; i < qlen; i++) { TreeNode* curr = que.front(); que.pop(); sum += curr->val; if (curr->left) { que.push(curr->left); } if (curr->right) { que.push(curr->right); } } double tmp = sum / qlen; ans.push_back(sum / qlen); } return ans; }728x90'Coding Test > LeetCode' 카테고리의 다른 글
[LeetCode] 463. Island Perimeter c++ (0) 2022.12.22 [LeetCode] 559. Maximum Depth of N-ary Tree c++ (0) 2022.12.20 [LeetCode] 104. Maximum Depth of Binary Tree c++ (1) 2022.12.20 [LeetCode] 94. Binary Tree Inorder Traversal c++ (0) 2022.12.19 [LeetCode] 226. Invert Binary Tree c++ (1) 2022.12.19